In de voorhoede van de biofarmaceutische innovatie is de kwaliteit van elk chemisch reagens van cruciaal belang. Met name bij de ontwikkeling van Antibody-Drug Conjugates (ADCs) kan de effectiviteit en stabiliteit van linkers een wereld van verschil maken. Als u op zoek bent naar de hoogste standaarden voor uw onderzoek, dan is het essentieel om te investeren in betrouwbare componenten. Wij bieden u de mogelijkheid om Mal-PEG4-Val-Cit-PAB-PNP te koop aan te schaffen, een verbinding die voldoet aan de strengste laboratoriumvereisten. Deze verbinding, beschikbaar als hoge zuiverheid te koop, is specifiek ontworpen om uw wetenschappelijke doorbraken te ondersteunen.
De vraag naar onderzoekskwaliteit te koop materialen is groot in de moderne wetenschap. Daarom presenteren wij Mal-PEG4-Val-Cit-PAB-PNP, een essentieel onderdeel voor geavanceerde bioconjugatie- en medicijnontwikkelingsprojecten. Dit product is zorgvuldig geselecteerd om te garanderen dat het de zuiverheid en functionaliteit biedt die nodig zijn voor reproduceerbare resultaten. Het verkrijgen van dit kaliber reagentia is een eerste stap richting succesvol experimenteel werk, en wij zorgen ervoor dat u enkel toegang heeft tot de beste materialen op de markt.
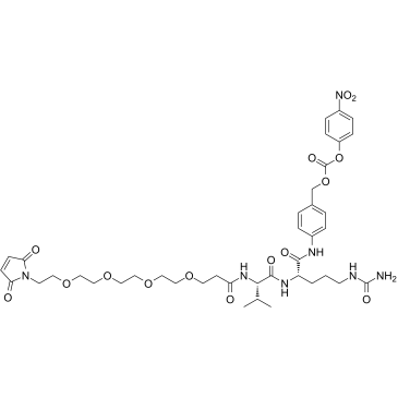
Wat is Mal-PEG4-Val-Cit-PAB-PNP?
Mal-PEG4-Val-Cit-PAB-PNP is een zorgvuldig ontworpen chemische linker die een cruciale rol speelt in de synthese van Antibody-Drug Conjugates (ADCs). Deze verbinding bestaat uit verschillende functionele eenheden: een maleïmidegroep (Mal) voor koppeling aan thiolgroepen op antilichamen, een PEG4-spacer (polyethyleenglycol met vier eenheden) die de oplosbaarheid en stabiliteit verbetert, en een Val-Cit-PAB-sequentie. De Val-Cit-PAB-sequentie is een substraat voor lysosomale cathepsine B, wat enzymatische klieving mogelijk maakt na internalisatie van het ADC in een cel. Na klieving geeft het para-aminobenzyl (PAB) een vrij medicijnmolecuul af.
Deze geavanceerde linker maakt een gerichte afgifte van cytotoxiciteit mogelijk, waardoor de toxiciteit voor gezonde cellen wordt geminimaliseerd terwijl de effectiviteit tegen kankercellen behouden blijft. Topkwaliteit Mal-PEG4-Val-Cit-PAB-PNP is daarom onmisbaar voor onderzoekers die werken aan de volgende generatie oncologische therapieën. Het molecuul combineert een stabiele hechting met een gecontroleerde afgifte, wat een optimale balans biedt voor medicijnafgiftesystemen.
Bovendien zorgt de PEG-spacer voor een verhoogde wateroplosbaarheid en vermindert het de immunogeniteit van het ADC. Dit maakt Mal-PEG4-Val-Cit-PAB-PNP een veelzijdige en robuuste keuze voor preklinisch en klinisch onderzoek. De moleculaire structuur garandeert een betrouwbare werking, wat essentieel is voor de integriteit van experimentele data en de veiligheid van potentiële therapieën. De functionaliteit en structuur zijn zorgvuldig gevalideerd om optimale prestaties te garanderen in diverse onderzoeksopstellingen.
Waarom Mal-PEG4-Val-Cit-PAB-PNP Online Kopen bij StreetChemX?
Het online aanschaffen van hoogwaardige chemische reagentia vereist een partner waarop u volledig kunt vertrouwen. Bij StreetChemX begrijpen we de kritieke aard van uw onderzoek en het belang van compromisloze kwaliteit. Daarom zijn we toegewijd aan het leveren van alleen de beste Mal-PEG4-Val-Cit-PAB-PNP beschikbaar op de markt, vergezeld van uitgebreide documentatie die elke stap van het proces ondersteunt. Onze prioriteit is uw succes en de integriteit van uw wetenschappelijke werk.
Daarom streven wij ernaar om u een veilige en transparante aankoopprocedure te bieden. Elk product dat u bij StreetChemX verkrijgt, is onderworpen aan strenge kwaliteitscontroles en analyses om de zuiverheid en specificaties te bevestigen. Dit stelt u in staat om met vertrouwen en zekerheid te werken, wetende dat u een authentiek en betrouwbaar reagens gebruikt. Bovendien staan onze experts klaar om u te ondersteunen met gedetailleerde productinformatie en technische assistentie waar nodig.
Kortom, wanneer u kiest voor ons, kiest u voor gemoedsrust en efficiëntie. Het is onze missie om onderzoekers te voorzien van de meest geavanceerde materialen, en authentieke Mal-PEG4-Val-Cit-PAB-PNP is daar een perfect voorbeeld van. Met een focus op laboratoriumkwaliteit te koop, garanderen wij dat uw experimenten niet worden belemmerd door inconsistente of ondermaatse reagentia. De investering in hoogwaardige materialen betaalt zich altijd terug in reproduceerbare en betrouwbare onderzoeksresultaten.
Toepassingen
Mal-PEG4-Val-Cit-PAB-PNP vindt diverse cruciale toepassingen in geavanceerd biomedisch onderzoek en de ontwikkeling van farmaceutische producten:
- ADC-Ontwikkeling: Essentieel voor de constructie van Antibody-Drug Conjugates, waarbij het een stabiele en kliefbare verbinding tussen antilichaam en cytotoxisch medicijn faciliteert.
- Gerichte Medicijnafgifte: Gebruik in systemen die medicijnen specifiek naar tumorcellen of andere doelcellen transporteren, minimaliserend off-target toxiciteit.
- Bioconjugatie Chemie: Fundamenteel voor het koppelen van diverse biomoleculen, zoals peptiden, proteïnen en nucleïnezuren, aan dragermaterialen of andere moleculen. Voor diepgaand onderzoek naar geavanceerde bioconjugatie, zijn de juiste tools onmisbaar.
- Proteïne Modificatie: Gebruikt voor het functionaliseren van proteïnen met labels, sensoren of andere therapeutische middelen.
- Diagnostische Reagentia: Ontwikkeling van nieuwe diagnostische middelen die gebruik maken van specifieke binding en gecontroleerde afgifte.
- Cellulair Biologisch Onderzoek: Studie van intracellulaire afgiftekinetiek en de impact van gekliefde medicijnmoleculen op cellulaire processen.
Deze brede reeks toepassingen onderstreept de veelzijdigheid en het belang van Mal-PEG4-Val-Cit-PAB-PNP als een laboratoriumkwaliteit te koop reagens. De specifieke chemische eigenschappen maken het een voorkeurskeuze voor onderzoekers die streven naar precisie en efficiëntie in hun werk.
Veiligheid & Naleving
Het werken met chemische reagentia zoals Mal-PEG4-Val-Cit-PAB-PNP vereist strikte naleving van veiligheidsprotocollen en regelgeving. Wij adviseren altijd het gebruik van persoonlijke beschermingsmiddelen (PBM), waaronder handschoenen, veiligheidsbril en laboratoriumjas, in een gecontroleerde laboratoriumomgeving. Een adequate ventilatie is eveneens cruciaal om blootstelling aan dampen of fijnstof te minimaliseren. Daarnaast is het van belang om bekend te zijn met de specifieke risico’s en voorzorgsmaatregelen die gelden voor deze verbinding, zoals beschreven in het Veiligheidsinformatieblad (VIB/SDS).
Alle producten die wij aanbieden, waaronder deze, worden geleverd met een gedetailleerd Certificaat van Analyse (CoA) en Veiligheidsinformatieblad (SDS), welke essentiële informatie verschaffen over zuiverheid, specificaties en veiligheidsrichtlijnen. Deze documenten zijn onmisbaar voor risicobeheer en voor het voldoen aan regionale en internationale laboratoriumnormen. Het is de verantwoordelijkheid van de gebruiker om ervoor te zorgen dat alle relevante veiligheidsrichtlijnen en lokale regelgevingen worden nageleefd tijdens de opslag, hantering en het gebruik van het product. Handeling met zorg en een diepgaand begrip van de materiaaleigenschappen zijn hierbij vanzelfsprekend.
Waarom Kiezen Voor Ons?
De keuze van een leverancier voor kritieke onderzoeksmaterialen is een beslissing die de kwaliteit en voortgang van uw werk direct beïnvloedt. Bij StreetChemX onderscheiden we ons door een ongeëvenaarde toewijding aan transparantie, kwaliteit en klanttevredenheid. Wij begrijpen de uitdagingen waar onderzoekers mee te maken krijgen en streven ernaar om u te voorzien van een naadloze ervaring bij de aanschaf van uw materialen. Onze processen zijn ontworpen om u de hoogste mate van betrouwbaarheid te bieden.
Wij garanderen gedetailleerde en transparante productinformatie, inclusief geverifieerde batchrecords en uitgebreide analysecertificaten. Dit betekent dat u altijd precies weet wat u krijgt, wat essentieel is voor reproduceerbaarheid en wetenschappelijke integriteit. Bovendien bieden wij competitieve prijzen zonder in te boeten op kwaliteit, waardoor Mal-PEG4-Val-Cit-PAB-PNP toegankelijk wordt voor een breed scala aan onderzoeksprojecten. Wij moedigen u aan om de voordelen zelf te ervaren en diverse chemische reagentia zoals SGI-1027 bij ons te verkrijgen.
Het bestel Mal-PEG4-Val-Cit-PAB-PNP online proces is bij ons efficiënt en veilig, ondersteund door een team dat klaarstaat om al uw vragen te beantwoorden. U kunt rekenen op onze expertise en service, vanaf het moment van uw eerste aanvraag tot na de aankoop. Kies voor StreetChemX en ervaar het verschil dat een betrouwbare partner kan maken voor uw onderzoek. Het is onze passie om bij te dragen aan wetenschappelijke vooruitgang door het leveren van superieure materialen en uitstekende ondersteuning.
Conclusie
De reis naar wetenschappelijke ontdekking en de ontwikkeling van innovatieve therapieën vereist precisie, betrouwbaarheid en de allerbeste materialen. Mal-PEG4-Val-Cit-PAB-PNP is een sleutelcomponent die de potentie heeft om uw onderzoek naar Antibody-Drug Conjugates en gerichte medicijnafgifte te transformeren. De superieure kwaliteit en de bewezen functionaliteit van deze linker maken het een onmisbare toevoeging aan elk geavanceerd laboratorium. Daarom nodigen wij u uit om de voordelen te ontdekken van een samenwerking met een leverancier die uw wetenschappelijke ambities deelt.
Wacht niet langer en optimaliseer uw onderzoeksprocessen. U kunt nu online kopen en vertrouwen op een product dat voldoet aan de hoogste standaarden van onderzoekskwaliteit te koop. Wij staan klaar om u te ondersteunen met premium producten en de expertise die u nodig heeft. Verkrijg vandaag nog uw Mal-PEG4-Val-Cit-PAB-PNP te koop en zet de volgende stap in uw innovatieve projecten, wellicht zelfs met behulp van hulpmiddelen voor vaccinatieonderzoek. Kies voor StreetChemX, uw partner in wetenschappelijke excellentie.

Beoordelingen
Er zijn nog geen beoordelingen.